Tpp Biochemie : Pyruvatdehydrogenase Komplex Wikipedia
Kinetic experiments in the presence of DCPIP were performed in 005 M potassium phosphate buffer pH 70 at 600 nm and 25 C with a Hitachispectrophotometer model 356. The International Union of Biochemistry and Molecular Biology has catalogued more than 140 PLP-dependent activities corresponding to 4 of all classified activities.
TPP is an important cofactor that acts catalytically in the decarboxylation of α-keto acids and the transketolase reaction.

Tpp biochemie. Brief Simple and Smart. Treatment with acid ammonium sulfate in the presence of 15 M KBr leads to the release of the cofactors yielding the stable apoenzyme. Learn medications and cosmeceuticals.
Moreover drug-loaded QDshPG-C12 TPP display an enhanced tumor cell killing efficacy compared to nontargeted drugs. 2 Summenformel C 12 H 19 N 4 O 7 P 2 S 3 Biochemie. Uptake of the lipophilic cation tetraphenylphosphonium TPP which is often used as a membrane potential probe was studied in the cyanobacterium Synechococcus R-2 PCC 7942 to determine if the technique was valid for these cells.
Lipophilic cation probes are notorious for giving inconsistent estimates of membrane potential ΔΨ using the Nernst equation E TPP ΔΨ. Researchers developers and manufacturers use TPPs to ensure that RD activities are focused on relevant products and designed for the contexts and needs of end-users. The apoenzyme TPP complex dimer associates with the tetrameric holoenzyme in the presence of 10 microM FAD.
FAD binding to the tetrameric binary TPP complex is too fast to be resolved by manual mixing. Life and Medical Sciences LIMES Program Unit Chemical Biology and Medicinal Chemistry co KekuléInstitut für Organische Chemie und Biochemie Universität Bonn GerhardDomagkStrasse 1 53121 Bonn Germany Fax. Target product profiles TPPs provide details on the minimum and optimal performance and operational characteristics of priority diagnostic tests.
The versatility of PLP arises from its ability to covalently bind the substrate and then. E-learning and management system. Einen Teil folgender Enzymkomplexe.
All other chemicals were of pa. Enzyme inhibition enzyme kinetics. Biochemistry TTP abbreviation meaning defined here.
Diagnostic value of serum enzymes. Pyruvate oxidase from Lactobacillus plantarum is a homotetrameric flavoprotein with strong binding sites for FAD TPP and a divalent cation. A look at the TPP structure and the pyruvate dehydrogenase mechanism.
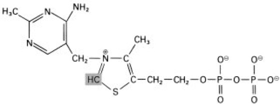
Thiaminpyrophosphat TPP auch Thiamindiphosphat TDP ist ein Phosphatester des Thiamins Vitamin B 1TPP ist die Coenzymform Cocarboxylase des Thiamins und dominiert in Zellen von Eukaryoten gegenüber dem Thiamin da es bald aus diesem durch das Enzym Thiaminpyrophosphokinase synthetisiert wird. In TTP blood clots form in small blood vessels throughout the body. Mechanism of action of enzymes.
Die früher verbreitete Ansicht dass TPP überhaupt nicht aus der Zelle transportiert. Currently there are 800 employees in nine research departments and 20 research groups thus making the. Pyruvatdehydrogenase-Komplex PDH PDH-C Alpha-Ketoglutarat-Dehydrogenase-Komplex.
TPP Academy Top Pharma Program. Creatinine kinase Alkaline phosphatase. Thiamine pyrophosphate TPP or thiamine diphosphate TDP is the active form of the vitamin thiamine.
Apoenzyme and cofactors prosthetic group-TPP coenzyme NAD metal cofactors Classification of enzymes. As a result serious health problems can. Scientists at the Max Planck Institute of Biochemistry MPIB are investigating the structure and function of proteins - from individual molecules to whole organisms.
What does TTP stand for in Biochemistry. Search for more papers by this author. Pyridoxal phosphate PLP pyridoxal 5-phosphate P5P the active form of vitamin B 6 is a coenzyme in a variety of enzymatic reactions.
This association step obeys second-order kinetics with an association rate constant k 74 x 103 M-1 s-1 at 20 degrees C. Get the top TTP abbreviation related to Biochemistry. Importantly compared with commercial deep-red mitochondria dyes QDshPG-C12 TPP possesses superior photostability under continuous laser irradiation indicating great potential for long-term mitochondria labeling and tracking.
Thrombotic thrombocytopenic purpura TTP is a rare blood disorder. In diesem Video erfahrt ihr alle wichtigen Informationen rund um den Studiengang BiochemieViel Spaß beim Zuschauen. Lock and key hypothesis and Induced Fit hypothesis.
Knowledge Your gate to community pharmacy. The clots can limit or block the flow of oxygen-rich blood to the bodys organs such as the brain kidneys and heart. Thiaminpyrophosphat kurz TPP ist ein Phosphatester des Thiamins Vitamin B1 und fungiert in mehreren enzymatischen Reaktionen als Coenzym.
Active site transition state complex and activation energy. TPP Merck pyruvate Sigma and DCPIP Sigma were commercial products. In the present study.
Thiamine vitamin B1 is essential to the health of all living organismsIn its diphosphate form also known as TDP thiamine pyrophosphate TPP or cocarboxylase it serves as a cofactor for enzymes involved in carbohydrate metabolism including transketolase α-ketoglutarate dehydrogenase pyruvate dehydrogenase and branched chain α-keto acid dehydrogenase.
![]()
Biochemie Der Pflanzen Und Tiere Eine Einfuhrung Biochemie Isocitru Dehydrogenase Tpp Mg Coo Succinyl Coa Transphosphorylase Y Pir Hpof Bip Scoa Succinyl Coa Tpnh Oxalosuccinatc Ch 9 Coo Chcooh Cocoo Mu Isocitric Dehydrogenase

Rna Ligands That Distinguish Metabolite Induced Conformations In The Tpp Riboswitch Mayer 2007 Angewandte Chemie Wiley Online Library

Thiamine Pyrophosphate Wikipedia

Thiaminpyrophosphat Lexikon Der Biochemie
![]()
Thiamine Pyrophosphate Wikipedia

Thiaminpyrophosphat Lexikon Der Biologie

Pyruvatdehydrogenase Doccheck Flexikon
Vom Pyruvat Zum Acetat Chemgapedia

Thiaminpyrophosphat Lexikon Der Biochemie

Pyruvatdehydrogenase Doccheck Flexikon

Biochemie Der Pflanzen Und Tiere Eine Einfuhrung Biochemie Isocitru Dehydrogenase Tpp Mg Coo Succinyl Coa Transphosphorylase Y Pir Hpof Bip Scoa Succinyl Coa Tpnh Oxalosuccinatc Ch 9 Coo Chcooh Cocoo Mu Isocitric Dehydrogenase
![]()
Pyruvatdehydrogenase Komplex Wikipedia

Pyruvatdehydrogenase Doccheck Flexikon
![]()
Thiamine Pyrophosphate Wikipedia


